Index
▾
Language
▾
Arabic
Edo
Efik
English Language
French
Hausa
Ibibio
Igbo
Lit-In-English
Yoruba
General
▾
Civic Education
Christian Religious Studies
Dyeing & Bleaching
Economics
Geography
Government
History
Islamic Studies
Leather Goods Manufacturing & Repairs
Mining
Music
Painting & Decorating
Photography
Tourism
Visual Art
Business
▾
Automobile Parts Merchandising
Book Keeping
Commerce
Financial Accounting
Insurance
Marketing
Office Practice
Salesmanship
Shorthand
Store Keeping
Store Management
Typewriting
Science
▾
Agricultural Science
Animal Husbandry
Biology
Chemistry
Elect Installation & Maintenance Work
Fisheries
Health Education
Physical Education
Physics
Mathematics And Applied Science
▾
Auto Electrical Works
Basic Electricity
Basic Electronics
Computer Studies
Data Processing
Further Mathematics
GSM Phone Maintenance & Repair
General Mathematics
Radio,TV & Electr. Work
Home Economics
▾
Catering Craft Practice
Clothing and Textiles
Cosmetology
Food and Nutrition
Garment Making
Home Management
Civil And Mechanical
▾
Auto Body Repair & Spray Painting
Air-Conditioning/Refrigeration
Auto Mechanics
Auto Mechanical Work
Block Laying, Brick Laying and Concrete Works
Building Construction
Carpentry and Joinery
Furniture Making
Machine Woodworking
Metal Work
Plumbing & Pipe Fitting
Printing Craft Practice
Technical Drawing
Upholstery
Welding & Fabrication Eng.Craft Practice
Wood Work
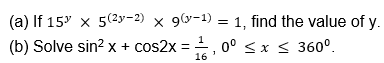
Further Mathematics Paper 2, WASSCE (PC 1ST), 2020
Subject Home
1
2
3
4
5
6
7
8
9
10
11
12
13
14
15
Menu
General Comments
Weakess/Remedies
Candidate's Strength
Question 10
Observation