Physics Paper 2 WASSCE (PC), 2019

 

Question 10

(a) For each of the following properties of waves, state one condition necessary for its occurrence;
(i) diffraction
(ii) refraction;

 

Calculate the;
(α) wavelength;
(β) frequency.
(ii) Sketch the graph of y against x for one complete cycle of the wave.

 

(c) State the condition under which a ray of light undergoes minimum deviation through triangular prism.

 

(d) (i) Explain end correction as applied to vibration in pipes.
(ii) A boy standing at a point P in front of a tall building, shouts and hears an echo 3.2 s later. He moves 10 m from P away from the building and shouts again. He received the echo after 4.0 s. Calculate the distance of P from the building.

Observation

Part (a): Performance was fair. Majority of the candidates attempted and obtained full mark.
Part (b): Performance was fair.
Part (c): Performance was poor. Few candidates were able to respond correctly to this question.
Part (d): Candidates performed poor. Few candidates were able to state the correct formula and solve the problem.
The expected answer is :

10(a)Condition necessary for occurrence of diffraction
- presence of obstacle in the path of wave
- the wavelength of the wave must be of the order of the size of the aperture
- wave must pass through an aperture

(ii)Condition necessary for the occurrence of refraction
- presence of two media
- the wave must move from one medium to the other
- angle of incidence must be less than 90°

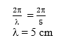
(bi) (α)Calculation of wavelength

(β)Calculation of frequency

(bii) (α)Graph of y against x for one complete cycle of a wave

 

(c) The condition under which a ray of light undergoes minimum deviation through a triangular prism
- Angle of incidence must be equal to angle of emergence
- Ray must travel symmetrically through prism
- Refracted ray in the prism must be parallel to base of the prism

 

(di) Explanation of end-correction
The antinode of the wave extends a little beyond the open end of the pipe into air.(1) The distance from the open end of the pipe to the position of the antinode is called the end-correction.

 

(ii) Calculation of distance of P from the building