waecE-LEARNING
Home
Technical
Mathematics
Languages
Science
Social Science
Art
Literature Arabic Islamic Studies C.R.KHistory MusicVisual Art Clothing/Textile Home Management Shorthand
 
Applied Electricity Paper 2 , May/June 2009  
Questions:   1 2 3 4 5 6   Main
General Comments
Weakness/Remedies
Strength





















Question 5

(a) State one factor that affects the resistivity of a conductor.
        (b) A mild ring uniformly wound with a coil of 200 turns has a flux density of 1.6T when connected to a voltage supply.
        The ring has a cross sectional area of 500mm² and a mean circumference of 400 mm.  Calculate the:

(i) reluctance of the steel ring;

(ii) magnetizing current producing the flux.

                        (μr = 380; μo = 4∏ x 10-7 A/m)

_____________________________________________________________________________________________________
Observation

The expected answers were:

(a)Length of the conductor ()                                                                             

Cross sectional area of the conductor (A)                                                                  

Resistance of the conductor (R)                                                                               

Conductor material

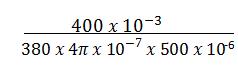
(b)(i)       s = 1 / (μr * μoA )             

    = 1675315.19A/Wb 
                              = 1.68  x  106 A/Wb
             (ii)        F  = ΦS  =  B. A. S.
                          =1.6 x  500  x  10-6  x  1.67  x  106  =  1340A

                           I =  F/N = 1349 / 200

                           = 6.7A/turns 

This question was on direct current circuit theory and electromagnetic field.  This question was not attempted by many.  Those candidates that attempted the question got part (a) correctly but due to lack of thorough understanding computed wrongly reluctance from the given data in      part (b).

Powered by Sidmach Technologies(Nigeria) Limited .
Copyright © 2012 The West African Examinations Council. All rights reserved.